دکتر محمدرضا عاطفی

عضو هیات علمی دانشگاه
مشاور استراتژی و نوآوری
مدل رشد S شکل
مقدمه
هیچ کمیت واقعی نمیتواند به طور پیوسته رشد (یا نزول) کند. در نهایت یک یا چند محدودیت، رشد را متوقف میکند. یکی از رفتارهای رایج در سیستمهای پویا رشد S شکل است. رشد ابتدا نمایی است، اما به تدریج کند میشود تا وقتی که وضعیت سیستم به یک سطح تعادل برسد.
در رشد S شکل یک مفهوم کلیدی وجود دارد که ظرفیت تحمل نامیده میشود. ظرفیت تحمل هر اکوسیستم به دلیل کمبود منابع موجود در محیط تعداد موجودات زنده از نوع مشخص است که اکوسیستم میتواند برای تامین نیاز جمعیت به آن اختصاص یابد.
هنگامی که یک جمعیت به ظرفیت تحملش نزدیک میشود، منابع سرانه کم میشود. هنگامی که یک جمعیت به ظرفیت تحملش نزدیک میشود، منابع سرانه کم میشود، در نتیجه سبب کاهش نرخ نسبی خالص افزایش میشود تا وقتی که منابع سرانه کافی برای متوازن کردن تولدها و مرگها وجود داشته باشد که در آن نقطه نرخ خالص افزایش صفر است و جمعیت به تعادل میرسد.
در رشد نمایی هر کمیت واقعی یا جمعیتی با منابع محیطش تعریف میشود. وقتی به ظرفیت محیط نزدیک شویم، کفایت منابع مورد نیاز کاهش مییابد و نرخ نسبی خالص افزایش، باید کم شود.
متغیر حالت سیستم به رشد خود ادامه میدهد اما با نرخ کمتری، این کار تا وقتی ادامه مییابد که منابع به حدی کم شوند، که رشد را متوقف کنند.
به طور کلی یک جمعیت ممکن است به منابع مختلفی وابسته باشد که هر کدام حلقه ای منفی ایجاد میکنند که ممکن است به منابع مختلفی وابسته باشد که هر کدام حلقه ای منفی ایجاد میکنند که ممکن است رشد را محدود کند.
محدودیتی که بیشترین قید را ایجاد میکند تعیین میکند چه وقتی سیستم رشد میکند کدام یک از حلقههای منفی موثرتر خواهد بود.
مفهوم ظرفیت تحمل دقیق و پیچیده است، در حالی که در برخی موارد جا دارد فرض کنیم که ظرفیت تحمل یک محیط ثابت است، اما به طور کلی ظرفیت تحمل یک محیط به طور تنگاتنگ با تکامل و پویایی گونههایی که تحت حمایت آن قرار دارند درهم پیچیده است.
همه کسب و کارها و سازمانها در بستر بازار، جامعه محیطی فیزیکی رشد میکنند که محدودیتهایی برای رشد آنها ایجاد میکنند. همان طور که در مورد جمعیتهای طبیعی هم صدق میکند، این محدودیتها ممکن است به صورت برون زا و مهم تر از آن به صورت درون زا از طریق تعامل سازمان با مشتریان، رقیبان، تامین کنندگان، تعدیل کنندگان و دیگر نهادهای سیستم افزایش یا کاهش یابد. به طور کلی، باید منافع مختلف را که در کنار هم ظرفیت تحمل – برای یک گونه خاص یک سازمان – را به وجود میآورند به عنوان عنصر درونزای سیستم مدل کنیم.
شروط رشد s شکل
- حلقههای منفی نباید شامل هیچ تاخیر زمانی قابل توجهی باشند (اگر چنین باشد، سیستم از حد خارج میشود و حول ظرفیت تحمل نوسان میکند
- ظرفیت تحمل باید ثابت باشد. ظرفیت تحمل نمیتواند با رشد جمعیت تحلیل رود.
- تعاملات بین حلقههای مثبت و منفی باید غیرخطی باشند.
در ابتدا وقتی متغیر حالت سیستم نسبت به اصل منبع کوچک است، محدودیتهای رشد غیرفعالند و حلقههای مثبت غالب اند. وقتی یک واحد اضافی به متغیر حالت سیستم افزوده شود، بیشتر به نرخ خالص رشد کمک میکند تا به شکل نمایی رشد کند. به هر حال، نتیجه مستقیم آن رشد، کاهش کفایت منبع است. با فعال شدن محدودیتهای رشد، حلقههای منفی با قدرت بیشتری رشد میکنند تا وقتی که کم کم بر پویایی سیستم حکم فرما شوند.
نقطه عطف در منحنی نقطه است که در آن سیستم با اینکه در حال رشد است اما سرعت از افزاینده به کاهنده تغییر میکند. نقطه عطف نقطه ای را نشان میدهد که یک انتقال در حلقه غالب وجود دارد. این نقطه جایی است که در آن حلقه منفی به جای حلقه مثبت غالب میشود و در نتیجه با افزایش یک واحد اضافی به متغیر حالت، نرخ نسبی خالص افزایش روندی کاهنده مییابد یا به عبارت دیگر آهنگ رشد کاهش مییابد.

ساختار عمومی رشد S
رشد S شکل رفتار مشخصه سیستمی است که در آن یک ساختار بازخورد مثبت و منفی برای تسلط مبارزه میکنند اما منجر به تعادل بلندمدت میشود. همانطور که در شکل زیر نشان داده شده است، حلقه رشد نمایی بازخورد مثبت (به رنگ آبی نشان داده شده است) در ابتدا بر سیستم غالب میشود و باعث میشود که متغیر حالت با سرعت فزاینده ای افزایش یابد. با این حال، با نزدیک شدن سیستم به محدودیت یا “ظرفیت تحمل” خود، حلقه بازخورد منفی هدفجو (با رنگ قرمز نشان داده شده است) به حلقه غالب تبدیل میشود. در این حالت جدید، سیستم به صورت مجانبی به محدودیت سیستم نزدیک میشود. این رویداد “تغییر تسلط” از یک حلقه به حلقه دیگر مشخصه رفتار غیرخطی است و در انواع سیستمهای فیزیکی، اجتماعی و اقتصادی یافت میشود.
مثال 1: سیستم جمعیت فیلها
برای این بحث، سناریوی گله فیلها را برای نشان دادن این رفتار دوباره بررسی میکنیم. شکل های زیر مدل جمعیت فیل ما را به ترتیب در نمودار علّی و مدل شبیه سازی نشان میدهد. با نگاهی به شکل زیر، میبینیم که سیستم گله فیل از یک حلقه بازخورد رشد مثبت و دو حلقه بازخورد منفی تشکیل شده است.

حلقه مثبت نرخ تولد، که به رنگ آبی نشان داده شده است، مسئول رشد نمایی تجربه شده در مراحل اولیه رشد گله است. با افزایش جمعیت گله، نرخ تولد – با توجه به مقدار ثابت باروری (باروری) – افزایش مییابد. افزایش نرخ زاد و ولد باعث رشد بیشتر گله میشود. در تعادل، حلقه نرخ مرگ و میر منفی که با رنگ قرمز نشان داده شده است، مسئول کاهش جمعیت گله است. به خودی خود، میزان مرگ و میر فیلها به طور ضمنی جمعیت را به صفر میرساند. با مرگ فیلها، جمعیت کاهش مییابد تا زمانی که جمعیت تعادلی صفر به دست میآید که در آن دیگر فیل نمیمیرد. حلقه ظرفیت تحمل منفی که به رنگ سبز نشان داده شده است، تأثیر افزایش تراکم جمعیت را بر میانگین طول عمر – و در نتیجه میزان مرگ و میر – گله فیل در نظر میگیرد

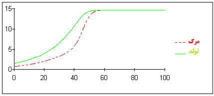
با توجه به این ساختار، شکل زیر نتایج سری زمانی حاصل از شبیه سازی این مدل را از زمان=0 تا زمان=100 نشان میدهد. در شکل، رفتار نمایی نرخ زاد و ولد را از زمان=0 تا حدود زمان=40 میبینیم. در زمان = 40، تأثیر افزایش تراکم جمعیت بر میانگین طول عمر با “افزایش” نرخ مرگ و میر در گله شروع میشود. پس از این مرحله، با افزایش تراکم جمعیت، فاصله بین نرخ تولد و مرگ به تدریج کاهش مییابد. در زمان 58 ، نرخ تولد و مرگ برابر میشود و سیستم به تعادل میرسد.

برای نشان دادن این رفتار به روشی دیگر، شکل زیر نمودار سری زمانی نرمال شده جمعیت گله فیل و نرخ رشد خالص گله را نشان میدهد. رشد خالص به عنوان تعداد تولد فیل منهای تعداد تلفات فیل تعریف میشود. همانطور که انتظار داریم، در ابتدا به دلیل تسلط حلقه نرخ تولد، رشد خالص به طور تصاعدی افزایش مییابد. با این حال، زمانی که رشد خالص به اوج خود میرسد و شروع به سقوط میکند، یک تغییر بسیار خاص را در زمان=40 مشاهده میکنیم. با افزایش نرخ مرگ و میر، رشد خالص کاهش مییابد. افزایش مداوم نرخ مرگ و میر در نهایت رشد خالص را به صفر میرساند و باعث میشود سیستم به حالت پایدار برسد.

مراجع:
بینشهای مرتبط

مدل سازی دینامیکی – مدل ...

مدل های پایه – مدل ...

سیستم هدف جو

